当前位置: 首页 >> 正文
公司本科生在SSCI期刊Land上发表学术论文
时间:2023年07月15日 10:32  来源:云顶国际yd222线路检测中心  编辑:姬广建   作者:王子云  审核人:

7月14日,公司地理科学(师范)专业2021级本科生王子云在SSCI期刊Land(Impact Factor: 3.9;CiteScore:3.7)以第一作者身份发表题为“ Evolution of Ecosystem Service Values and the Response to Landscape Pattern Change in the Huaihe River Eco-Economic Belt”的研究论文(https://doi.org/10.3390/land12071405),云顶国际yd222线路检测中心为第一单位和通讯单位,王怀军老师为通讯作者,2021级本科生刘振杰、冯如老师和潘莹萍老师为论文合作者。

生态系统服务价值(Ecosystem Services Values,ESVs)是人类从自然生态系统中直接或间接获得的各种福利。然而,由于不合理的土地利用方式,导致了一系列生态问题,如生物多样性的降低和环境污染的加重,从而直接导致生态系统服务价值的下降。本论文采用当量因子法和景观格局指数研究淮河生态经济带土地利用的变化,分析总结淮河生态经济带生态系统服务价值的演变特征及其对景观格局的响应。研究成果可为淮河生态经济带生态环境保护和可持续发展提供理论基础和科技支撑。

王子云同学为公司2021级地理科学(师范)本科生,从大一开始一直积极参与王怀军老师课题组的科研工作。目前已主持/参与省级大创项目2项,获第四届“中教启星杯”地理教学制图大赛二等奖1项、二等奖学金2次以及三等奖学金1次。对于科研路上遇到的难题,她始终保持一颗平常心,秉持着“不抱怨,不指责,保持好心态,每天进步一点点”的信念,不断前进。

近年来,公司高度重视本科生科研创新人才的培养,积极组织员工参与全国地理相关竞赛和学术研究,为本科生科研活动提供完备的实验条件和雄厚的团队队伍。一分耕耘,一分收获,相信在公司师生的共同努力下,不断突破,勇于进取,人才培养质量将会更上一个台阶。

图1 生态系统服务价值时间变化

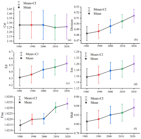
图2 格网尺度景观指数时间变化

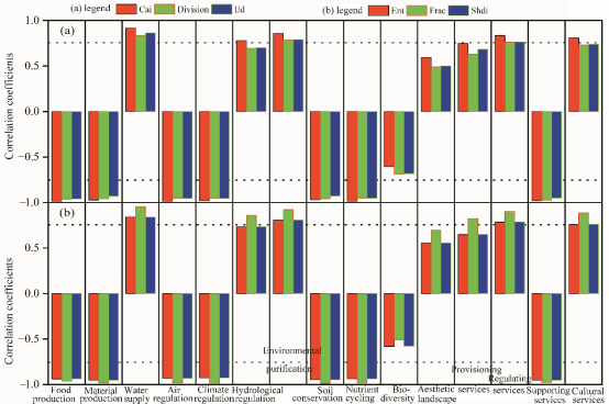
图3 景观指数与生态系统服务价值相关系数